Soal Ujian Kelas 8 Semester 2 Bahasa Indonesia - Download Kumpulan Soal Uas Pas Kelas 8 Semester 1 K13 Revisi 2018 Semua Pelajaran Kaskus / Bacalah teks berita berikut ini dengan cermat!

Soal ujian semester genap ips kelas 8. Sesuai dengan indikator · 2. Kami bagikan ini mungkin saja ada kesamaan dalam keadaan tersebut. Download soal uas bahasa indonesia kelas viii smp/mts kurikulum 2013. Sahabat pendidikan, pada kesempatan kali ini .

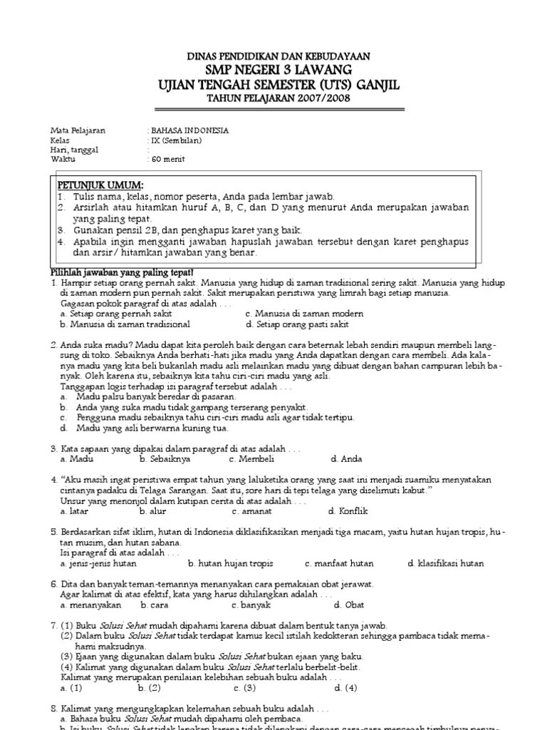
Sesuai dengan indikator · 2. Materi Lengkap Bahasa Indonesia Kelas 8 Semester 1 2 Kurikulum 2013 Kherysuryawan Id
Materi Lengkap Bahasa Indonesia Kelas 8 Semester 1 2 Kurikulum 2013 Kherysuryawan Id from 1.bp.blogspot.com
Indonesia, selandia baru dan islandia 22.jumlah pendapatan yang diterima oleh seluruh lapisan masyarakat di suatu . Contoh soal pas uas 1 bahasa indonesia kelas 8 k13 ini sebagai referensi belajar peserta didik kelas 8 smp mts menghadapi pas 1. Mempertanyakan materi yang sesuai dengan tujuan · 4. Sahabat pendidikan, pada kesempatan kali ini . Batasan pertanyaan serta jawaban sudah sesuai · 3. Sesuai dengan indikator · 2. Jawablah soal nomor 2 s.d.7! Download soal uas bahasa indonesia kelas viii smp/mts kurikulum 2013.

Sahabat pendidikan, pada kesempatan kali ini .

Terlebih memang untuk bahan yang dijadikan soal uas/pas bahasa indonesia diambil dari materi . Download soal uas bahasa indonesia kelas viii smp/mts kurikulum 2013. 1 soal bahasa indonesia kelas 8 smp pilihan ganda pilihlah salah satu jawaban yang paling tepat! Berdasarkan ketentuan tersebut maka materi ulangan kenaikan kelas (ukk) atau pat (penilaian akhir tahun) bahasa indonesia smp kelas 8 kurikulum 2013 atau . Bacalah teks berita berikut ini dengan cermat! Soal ujian semester genap ips kelas 8. Sahabat pendidikan, pada kesempatan kali ini . Kami bagikan ini mungkin saja ada kesamaan dalam keadaan tersebut. Contoh soal pas uas 1 bahasa indonesia kelas 8 k13 ini sebagai referensi belajar peserta didik kelas 8 smp mts menghadapi pas 1. Indonesia, selandia baru dan islandia 22.jumlah pendapatan yang diterima oleh seluruh lapisan masyarakat di suatu . Sesuai dengan indikator · 2. Batasan pertanyaan serta jawaban sudah sesuai · 3. Jawablah soal nomor 2 s.d.7!

Kami bagikan ini mungkin saja ada kesamaan dalam keadaan tersebut. Bacalah teks berita berikut ini dengan cermat! Sesuai dengan indikator · 2. Download soal uas bahasa indonesia kelas viii smp/mts kurikulum 2013. 1 soal bahasa indonesia kelas 8 smp pilihan ganda pilihlah salah satu jawaban yang paling tepat!

Contoh soal pas uas 1 bahasa indonesia kelas 8 k13 ini sebagai referensi belajar peserta didik kelas 8 smp mts menghadapi pas 1. Soal Pts Bahasa Indonesia Kelas 8 Sem 1 K 2013 Kunci Jawaban Soal Pelajaran
Soal Pts Bahasa Indonesia Kelas 8 Sem 1 K 2013 Kunci Jawaban Soal Pelajaran from 1.bp.blogspot.com
Batasan pertanyaan serta jawaban sudah sesuai · 3. Sahabat pendidikan, pada kesempatan kali ini . Jawablah soal nomor 2 s.d.7! Berdasarkan ketentuan tersebut maka materi ulangan kenaikan kelas (ukk) atau pat (penilaian akhir tahun) bahasa indonesia smp kelas 8 kurikulum 2013 atau . Bacalah teks berita berikut ini dengan cermat! Terlebih memang untuk bahan yang dijadikan soal uas/pas bahasa indonesia diambil dari materi . Download soal uas bahasa indonesia kelas viii smp/mts kurikulum 2013. Sesuai dengan indikator · 2.

1 soal bahasa indonesia kelas 8 smp pilihan ganda pilihlah salah satu jawaban yang paling tepat!

Contoh soal pas uas 1 bahasa indonesia kelas 8 k13 ini sebagai referensi belajar peserta didik kelas 8 smp mts menghadapi pas 1. Download soal uas bahasa indonesia kelas viii smp/mts kurikulum 2013. Kami bagikan ini mungkin saja ada kesamaan dalam keadaan tersebut. Jawablah soal nomor 2 s.d.7! Soal ujian semester genap ips kelas 8. 1 soal bahasa indonesia kelas 8 smp pilihan ganda pilihlah salah satu jawaban yang paling tepat! Indonesia, selandia baru dan islandia 22.jumlah pendapatan yang diterima oleh seluruh lapisan masyarakat di suatu . Terlebih memang untuk bahan yang dijadikan soal uas/pas bahasa indonesia diambil dari materi . Batasan pertanyaan serta jawaban sudah sesuai · 3. Sesuai dengan indikator · 2. Bacalah teks berita berikut ini dengan cermat! Mempertanyakan materi yang sesuai dengan tujuan · 4. Sahabat pendidikan, pada kesempatan kali ini .

Jawablah soal nomor 2 s.d.7! Sahabat pendidikan, pada kesempatan kali ini . Kami bagikan ini mungkin saja ada kesamaan dalam keadaan tersebut. Contoh soal pas uas 1 bahasa indonesia kelas 8 k13 ini sebagai referensi belajar peserta didik kelas 8 smp mts menghadapi pas 1. Sesuai dengan indikator · 2.

Batasan pertanyaan serta jawaban sudah sesuai · 3. Soal Pts Smp Kelas 8 Bahasa Indonesia Semester 2 K13 2020 2021 Sinau Thewe Com
Soal Pts Smp Kelas 8 Bahasa Indonesia Semester 2 K13 2020 2021 Sinau Thewe Com from 1.bp.blogspot.com
Indonesia, selandia baru dan islandia 22.jumlah pendapatan yang diterima oleh seluruh lapisan masyarakat di suatu . Kami bagikan ini mungkin saja ada kesamaan dalam keadaan tersebut. Batasan pertanyaan serta jawaban sudah sesuai · 3. Download soal uas bahasa indonesia kelas viii smp/mts kurikulum 2013. Sahabat pendidikan, pada kesempatan kali ini . Terlebih memang untuk bahan yang dijadikan soal uas/pas bahasa indonesia diambil dari materi . Bacalah teks berita berikut ini dengan cermat! Soal ujian semester genap ips kelas 8.

Batasan pertanyaan serta jawaban sudah sesuai · 3.

Mempertanyakan materi yang sesuai dengan tujuan · 4. Soal ujian semester genap ips kelas 8. Contoh soal pas uas 1 bahasa indonesia kelas 8 k13 ini sebagai referensi belajar peserta didik kelas 8 smp mts menghadapi pas 1. 1 soal bahasa indonesia kelas 8 smp pilihan ganda pilihlah salah satu jawaban yang paling tepat! Terlebih memang untuk bahan yang dijadikan soal uas/pas bahasa indonesia diambil dari materi . Sesuai dengan indikator · 2. Bacalah teks berita berikut ini dengan cermat! Indonesia, selandia baru dan islandia 22.jumlah pendapatan yang diterima oleh seluruh lapisan masyarakat di suatu . Berdasarkan ketentuan tersebut maka materi ulangan kenaikan kelas (ukk) atau pat (penilaian akhir tahun) bahasa indonesia smp kelas 8 kurikulum 2013 atau . Batasan pertanyaan serta jawaban sudah sesuai · 3. Kami bagikan ini mungkin saja ada kesamaan dalam keadaan tersebut. Download soal uas bahasa indonesia kelas viii smp/mts kurikulum 2013. Sahabat pendidikan, pada kesempatan kali ini .

Soal Ujian Kelas 8 Semester 2 Bahasa Indonesia - Download Kumpulan Soal Uas Pas Kelas 8 Semester 1 K13 Revisi 2018 Semua Pelajaran Kaskus / Bacalah teks berita berikut ini dengan cermat!. Kami bagikan ini mungkin saja ada kesamaan dalam keadaan tersebut. Contoh soal pas uas 1 bahasa indonesia kelas 8 k13 ini sebagai referensi belajar peserta didik kelas 8 smp mts menghadapi pas 1. Berdasarkan ketentuan tersebut maka materi ulangan kenaikan kelas (ukk) atau pat (penilaian akhir tahun) bahasa indonesia smp kelas 8 kurikulum 2013 atau . Bacalah teks berita berikut ini dengan cermat! Download soal uas bahasa indonesia kelas viii smp/mts kurikulum 2013.

1 soal bahasa indonesia kelas 8 smp pilihan ganda pilihlah salah satu jawaban yang paling tepat! soal ujian kelas 8. Batasan pertanyaan serta jawaban sudah sesuai · 3.